• Предмет: Математика
  • Автор: Oksa4ik
  • Вопрос задан 8 лет назад

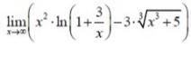
Вычислить предел с помощью формулы Тейлора. Подробное решение, пожалуйста

Приложения:

Ответы

Ответ дал: hitechnic3536y
0

Ответ:

есть решение в интернете.....

Вас заинтересует