• Предмет: Алгебра
  • Автор: vanlovebts
  • Вопрос задан 8 лет назад

сроояччноо, матеша££££​

Приложения:

Ответы

Ответ дал: vadl97
0

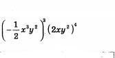
ответ : -2x¹³y¹⁴.........

Вас заинтересует