• Предмет: Математика
  • Автор: timavktoto
  • Вопрос задан 8 лет назад

помогите пожалуста даю 15 балов

Приложения:

Ответы

Ответ дал: dobra888
1

Ответ:       x = - 6 2/13 .

Пошаговое объяснение:

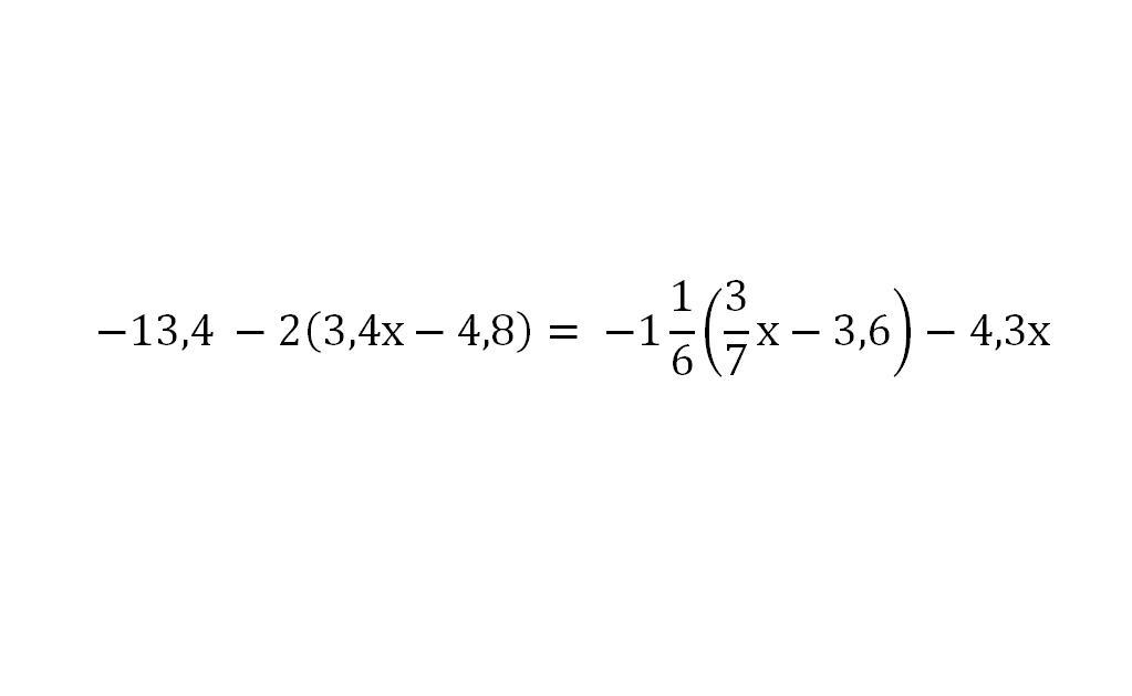
- 13,4 - 2( 3,4x - 4,8 ) = - 1 1/6 *( 3/7 x - 3,6 ) - 4,3x ;

- 13,4  - 6,8x + 9,6 = - 1 1/6 * 3/7 x + 1 1/6 * 3,6 - 4,3x ;

- 3,8 - 6,8x = - 1/2 x + 4,2 - 4,3x ;

- 6,8x + 1/2x + 4,3x = 4,2 + 3,8 ;  

- 1,3x = 8 ;

x = 8 : ( - 1,3 ) ;

x = - 80/13 =- 6 2/13 .

Вас заинтересует