• Предмет: Алгебра
  • Автор: yourdoge2288
  • Вопрос задан 8 лет назад

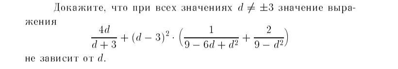
Помогите пожалуйста, уже 3 раз пишу

Приложения:

Ответы

Ответ дал: Glebgulika11
0

Ответ:Ответ на фото

Объяснение:

Приложения:
Вас заинтересует