• Предмет: Математика
  • Автор: 9200374803
  • Вопрос задан 8 лет назад

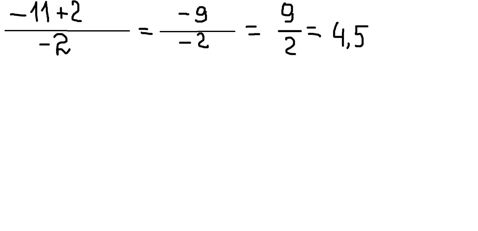
Найди значение дробного выражения: −11+2−2=

Приложения:

Ответы

Ответ дал: marialukashevicn
0

Ответ:

4,5

Пошаговое объяснение:

-11+2=-(11-2)=-9,

-9÷(-2)=4,5

Ответ дал: TutorOnline
0

Ответ: 4,5

Пошаговое объяснение: ↓↓

Приложения:
Вас заинтересует