Ответы
Ответ дал:
1
Ответ:
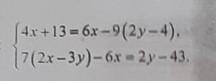
x=-2,5
y=1
Пошаговое объяснение:
Приложения:

poetrylike:
Спасибо большое
Вас заинтересует
2 года назад
3 года назад
3 года назад
8 лет назад
9 лет назад