• Предмет: Математика
  • Автор: bejbarysabildin882
  • Вопрос задан 8 лет назад

Помогите пж срочно дам 10 баллов​

Приложения:

bejbarysabildin882: Пожалуйста мне срочно нужно

Ответы

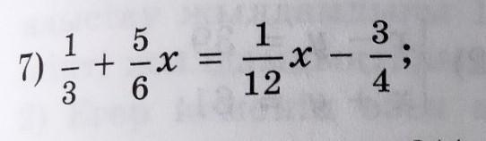
Ответ дал: maksymenkokata
1

Ответ:

х= -13/9

Пошаговое объяснение:

Умножить обе части на 12

4+10х=х-9

перенести неизвестную в левую часть прибавление к обеим частям противоположной к ней

4+10х-х=х-9-х

10х-х= -9-4

9х= -9-4

9х= -13

х= -13/9

Ответ дал: vozleevaea
1
1/3 + 5/6х= 1/12х - 3/4 |*12
4*1 + 5*2 х= 1*х - 3*3
4+10х= х-9
10х-х= -9-4
9х= -13
х = -13/9
х= -1 4/9

Вас заинтересует