Помогите пожалуйста очень нужно^^
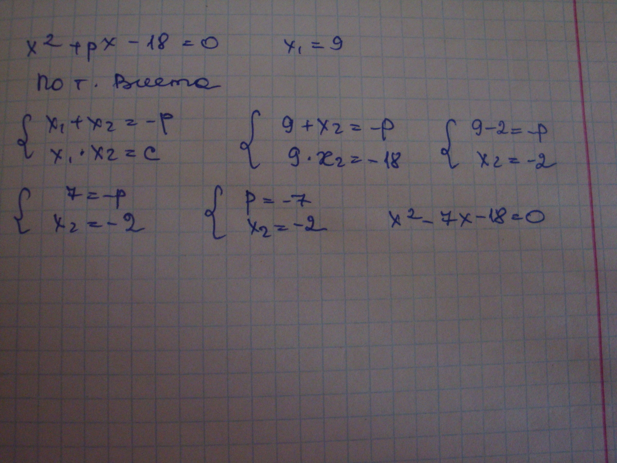
В уравнении х^2
+ рх – 18 = 0 один из корней равен –
9. Найдите другой корень и коэффициент р.
Ответы
Ответ дал:
0
решениееееееееееееееееееееееееееееееееееееее
Приложения:

Ответ дал:
0
х^2+h[-18=0. Ось симметрии параболы является прямая х=9.Найти р-? Уравнение оси симметрии х=-в:2а
Вас заинтересует
8 лет назад
10 лет назад
10 лет назад
10 лет назад