Ответы
Ответ дал:
1
Ответ:
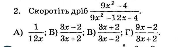
В
Объяснение:
Решение прикреплено. Надеюсь, что всё понятно.
Приложения:

Ответ дал:
1
Ответ:В)
Смотри решение на фото
Приложения:

Вас заинтересует
2 года назад
2 года назад
3 года назад
3 года назад
8 лет назад
9 лет назад