• Предмет: Математика
  • Автор: amansuluakniazova
  • Вопрос задан 8 лет назад


Помощь пожалуйста:(​

Приложения:

Ответы

Ответ дал: ghjpilot
1

Ответ:

Пошаговое объяснение:

Приложения:

amansuluakniazova: спасибо
Ответ дал: alenalobova871
1

Пошаговое объяснение:

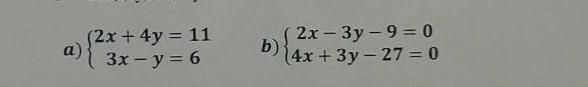
{2x+4y=11 | ×3

{3x-y=6 | × (-2)

{6x+12y=33

+

{-6x+2y=-12

14y= 21

y=1,5

подставляем

2x+4×1,5=11

2x+6=11

2x=5

x=2,5

Ответ: (2,5; 1,5)

{2x-3y-9=0

+

{4x+3y-27=0

6x-36=0

6x=36

x=6

подставляем

2×6-3y-9=0

12-3y-9=0

-3y-3=0

-3y=3

y= 1

Ответ: (6; 1)

Вас заинтересует