• Предмет: Алгебра
  • Автор: alisa162013
  • Вопрос задан 8 лет назад

найти общий интеграл дифференцированного уравнения

Приложения:

Ответы

Ответ дал: Miroslava227
0

Ответ:

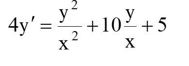
4y' =  \frac{ {y}^{2} }{ {x}^{2} }  +  \frac{10y}{x}  + 5 \\

однородное ДУ

Замена:

 \frac{y}{x}  = u \\ y '= u'x + u

4(u'x + u) =  {u}^{2} + 10 u + 5 \\ u'x + u =  \frac{ {u}^{2} + 10 u + 5}{4}  \\  \frac{du}{dx} x =  \frac{ {u}^{2} + 6u + 5 }{4}  \\ \int\limits \frac{du}{u {}^{2}  + 6u + 5}  =  \frac{1}{4} \int\limits \frac{dx}{x}  \\ \int\limits \frac{du}{u {}^{2} + 6u + 9 - 4 }  =  \frac{1}{4}  ln( |x| )  + C \\ \int\limits \frac{d(u + 3)}{(u + 3) {}^{2}  -  {2}^{2} }  =  \frac{1}{4}  ln( |x| )  +  ln(c)  \\  \frac{1}{4}  ln( | \frac{u + 3 - 2}{u + 3 + 2} | )  =   ln(C \sqrt[4]{x} )  \\  ln( \sqrt[4]{ \frac{u + 1}{u + 5} } )  =  ln(C \sqrt[4]{x} )  \\  \sqrt[4]{ \frac{u + 1}{u + 5} }  = C\sqrt[4]{x}  \\  \frac{u + 1}{u + 5} =  Cx \\  \frac{ \frac{y}{x} + 1 }{ \frac{y}{x} + 5 }  = Cx \\  \frac{y + x}{x}  \times  \frac{x}{y + 5x}  = Cx \\  \frac{y + x}{y + 5x}  = Cx

общее решение

Вас заинтересует