• Предмет: Математика
  • Автор: diman2323232
  • Вопрос задан 8 лет назад

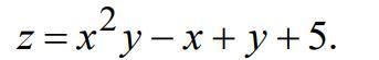
Знайти частинні похідні першого порядку по кожній незалежній змінній функції
z=f(x; y).

Приложения:

Ответы

Ответ дал: olgaslyscaya47
2
Нахождение частных производных первого порядка:
Приложения:
Вас заинтересует