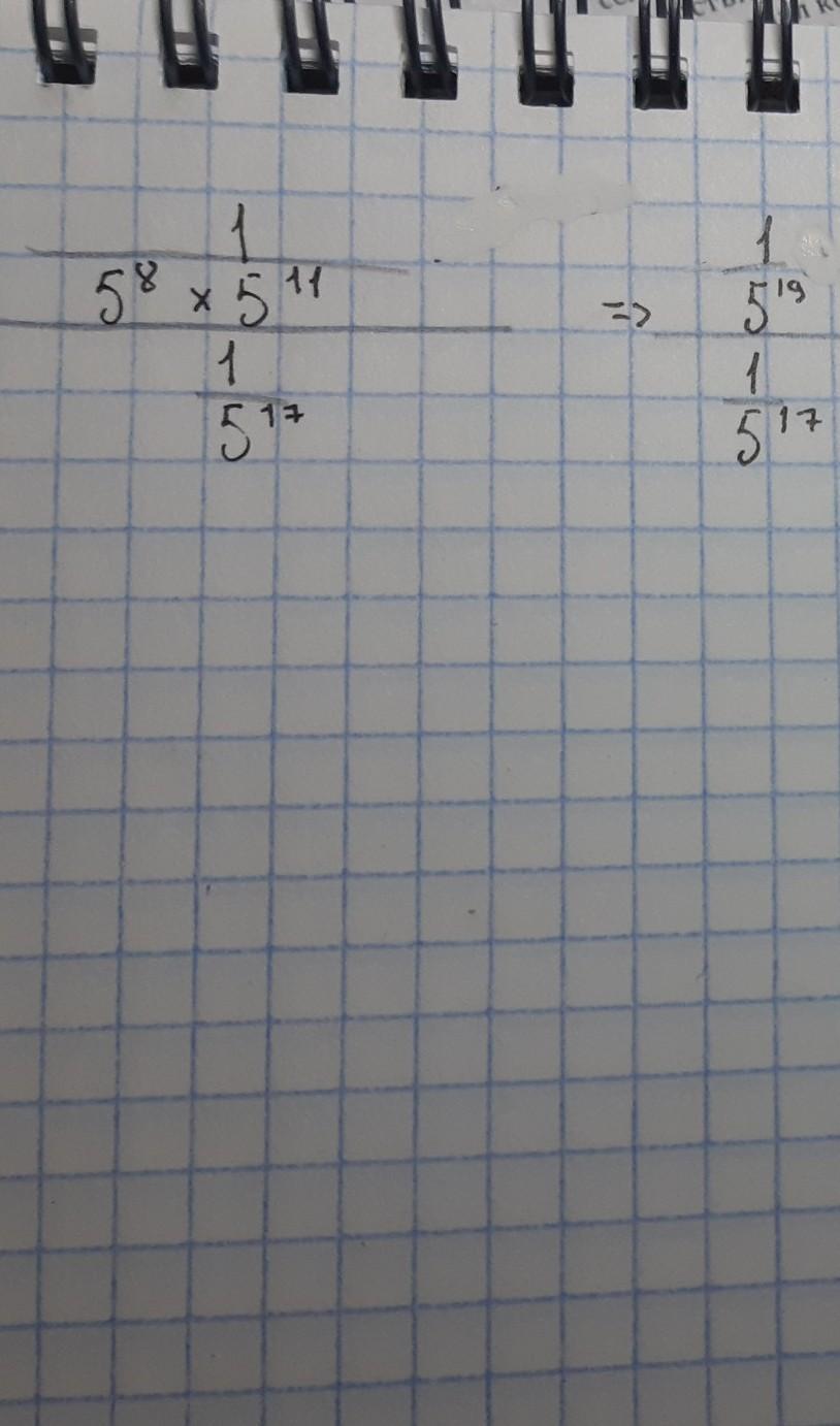
Решите пожалуйста выражение 5*-8×5*-11\5*-17 отдам 10 баллов.....
Аноним:
Решите пожалуйста нужно сегодня сделать
Ответы
Ответ дал:
1
Ответ:
я так поняла * это степень
5*-8= 1/5*8
5*-11=1/5*11
5*=1/5*17
6
Объяснение:
сорри что две фотографии, просто приложение одну не вмещает
Приложения:
Вас заинтересует
2 года назад
2 года назад
3 года назад
3 года назад
9 лет назад
9 лет назад
10 лет назад
10 лет назад