пожалуйста!!!!!!!!!!
Приложения:

Аноним:
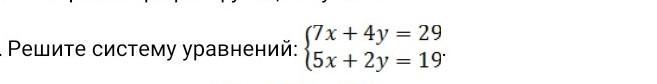
От первого отнимем второе, 2х+2у=10, теперь от второго отнимем полученное уравнение, имеем 3х=9, х=3. Тогда у =5-х=5-3=2. Ответ (3; 2)
Ответы
Ответ дал:
0
решим методом подстановки
{7х+4у=29
{х=19/5-2/5у
7(19/5-2/5у)+4у=29
у=2
х=19/5-2/5*2
х=3
х,у= 3, 2
{7х+4у=29
{х=19/5-2/5у
7(19/5-2/5у)+4у=29
у=2
х=19/5-2/5*2
х=3
х,у= 3, 2
Вас заинтересует
2 года назад
3 года назад
8 лет назад
8 лет назад