• Предмет: Алгебра
  • Автор: Karrilykafrjbxf
  • Вопрос задан 8 лет назад

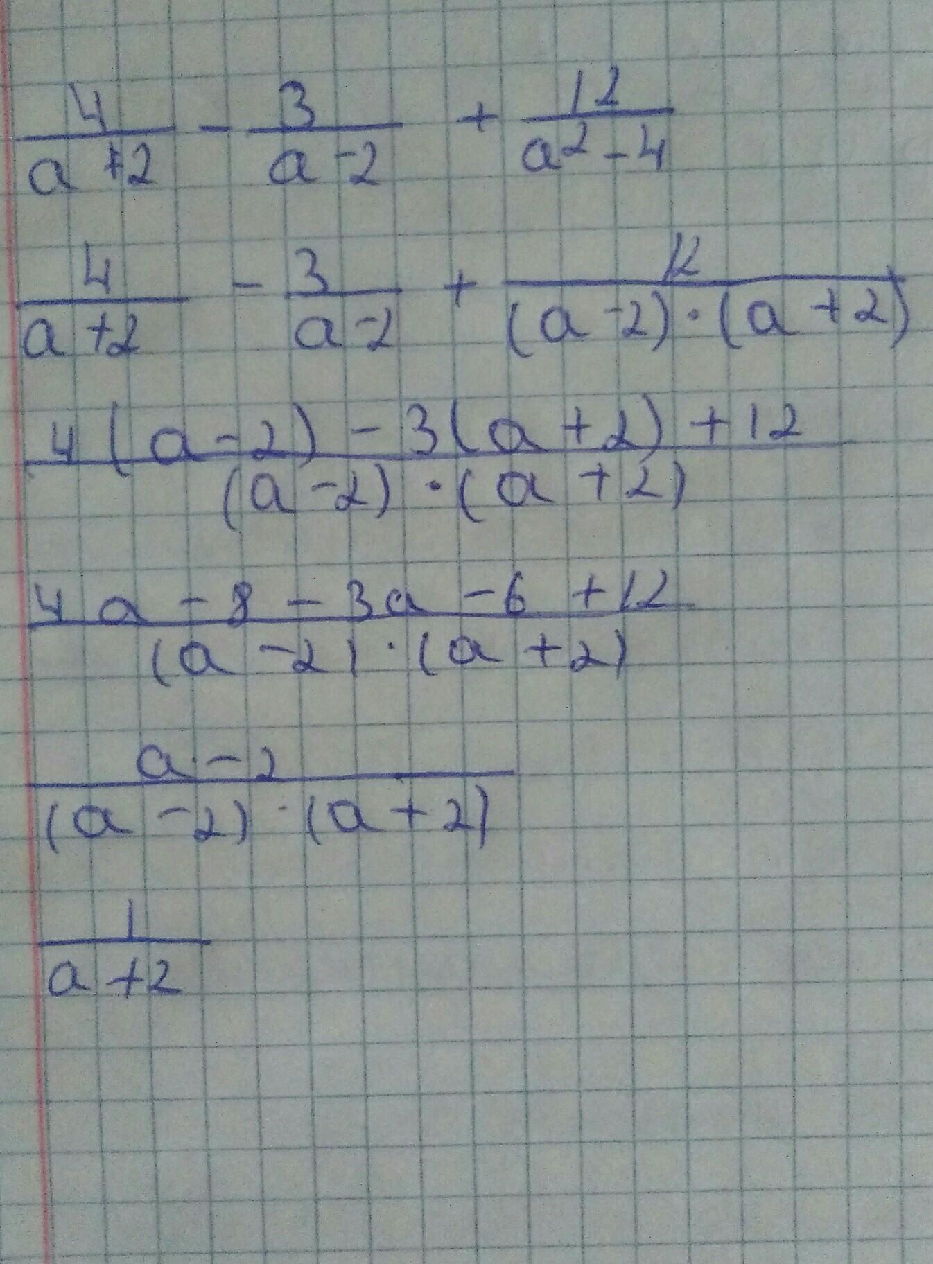
Упрости выражение:
4/a+2 - 3/a-2 + 12/a^2-4

Ответы

Ответ дал: jkbts97
0

Ответ:

Надеюсь помогла

Удачи

Приложения:
Вас заинтересует