• Предмет: Математика
  • Автор: dicks57
  • Вопрос задан 8 лет назад

Найдите значения:
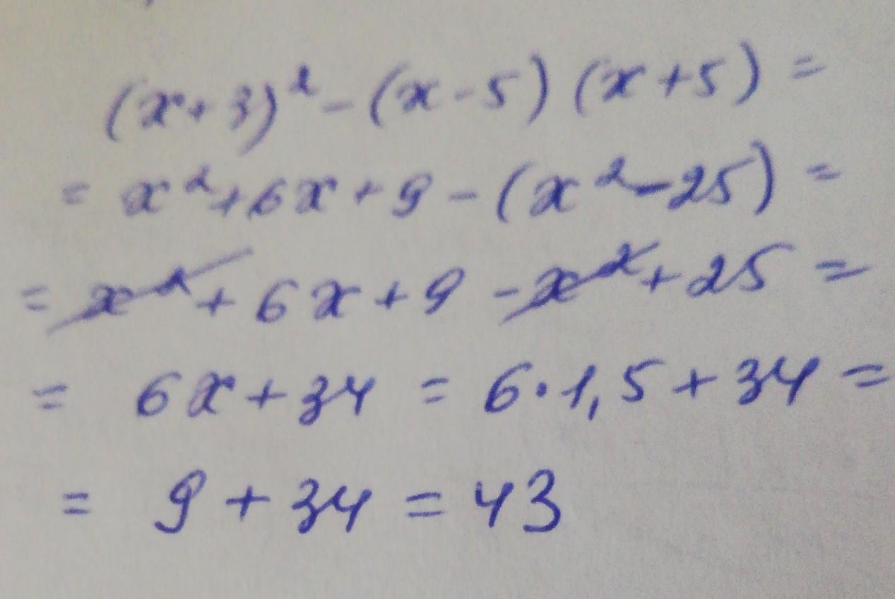
(х + 3)²- (х-5)(х+5) при х=1,5
пожалуйста,у меня годовая​

Ответы

Ответ дал: hdjdjdjjdjdjdj67
0

Ответ:

=х^2+6x+9-x^2+25=6x+34

При х=1,5

6x+34=6*1,5+34=9+34=43

х^2 - это х в квадрате

Пошаговое объяснение:

Ответ дал: serovaksusa1
1

Ответ:

Смотри решение на фото

Приложения:
Вас заинтересует