• Предмет: Алгебра
  • Автор: armanNn1337
  • Вопрос задан 8 лет назад

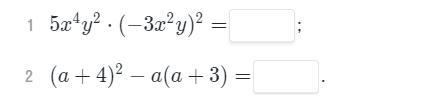
Упростите выражение ! помогите прошу

Приложения:

Ответы

Ответ дал: sangers1959
0

Объяснение:

1.\\5x^4y^2*(-3x^2y)^2=5x^4y^2*9x^4y^2=45x^8y^4.\\2.\\(a+4)^2-a*(a+3)=a^2+8a+16-a^2-3a=5a+16.

Вас заинтересует