Ответы
Ответ дал:
2
Ответ:
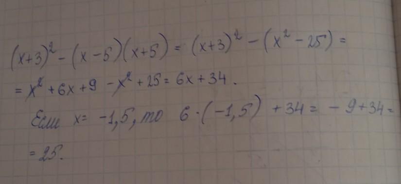
Значение выражения равно 25
Приложения:

Ответ дал:
2
Решение:
(Рішення:)
(-1.5+3)²-(-1.5-5)(-1.5+5)
Вычисляем
(Обчислювати)
1.5²-(-6.5) * 3.5
Преобразовываем и раскрываем скобки
(Перетворюємо і розкриваємо дужки)
(3\2)² + 6.5 * 3.5
Сокращаем дробь и вычисляем
(Скорочуємо дріб і обчислюємо)
9\4 + 22.75
Преобразовываем выражение
(Перетворюємо вираз)
9\4 + 91\4
Вычисляем сумму
(Обчислюємо суму)
Ответ: 25
Відповідь: 25
Вас заинтересует
2 года назад
2 года назад
3 года назад
3 года назад
8 лет назад
9 лет назад