• Предмет: Математика
  • Автор: jasminasuiuntbekova
  • Вопрос задан 8 лет назад

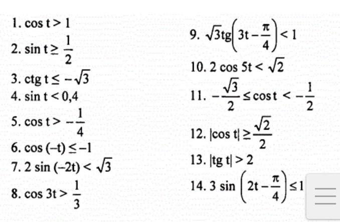
срочноо нужен помогитее!!!​

Приложения:

Ответы

Ответ дал: dobra888
0

Ответ:

Пошаговое объяснение:

Розв"язання займе 3 години і цілий зошит !!!

Вас заинтересует