• Предмет: Алгебра
  • Автор: hyppocrite945
  • Вопрос задан 8 лет назад

Помогите с вопросом.
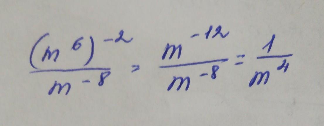
(m⁶)‐² ÷ m‐⁸

Ответы

Ответ дал: serovaksusa1
0

Ответ:

Смотри решение на фото

Приложения:
Вас заинтересует