Ответы
Ответ дал:
1
Ответ:
3, 5, 7 ответы
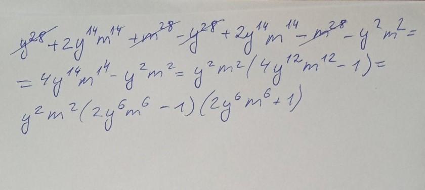
Объяснение:
смотрите фото
Приложения:

Maksmetro33:
помоги пж с другими
Вас заинтересует
2 года назад
3 года назад
8 лет назад
8 лет назад
9 лет назад
9 лет назад