Ответы
Ответ дал:
1
Ответ:
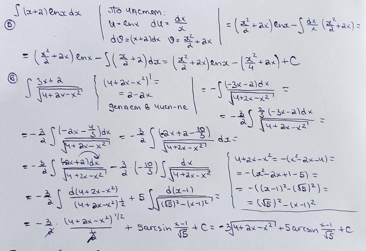
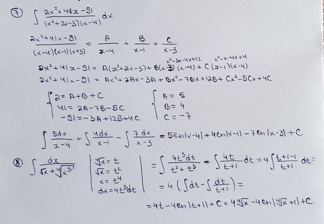
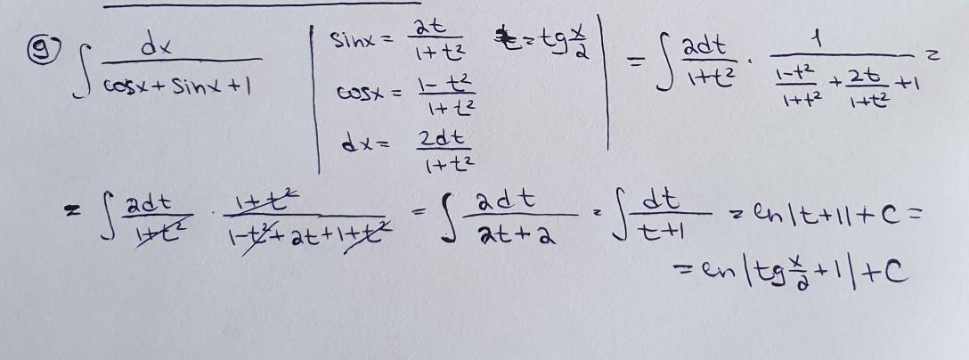
решение на фотографиях
Приложения:



Аноним:
извините, а завтра в 06:00 по московскому вы свободны?
Вас заинтересует
2 года назад
3 года назад
3 года назад
8 лет назад
9 лет назад
9 лет назад