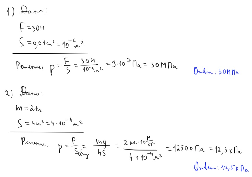
1). Человек вбивает гвоздь в стену, ударяя по нему молотком с силой 30 Н. Какое давление производит гвоздь при ударе, если площадь его острия 0,01 см(2)?
2). Масса стола 2 кг. Определите его давление на пол. если площадь каждой из четырёх его ножек 4 см(2).
Ответы
Ответ дал:
0
Решение на картинке.
Приложения:

Вас заинтересует
2 года назад
8 лет назад
8 лет назад
10 лет назад
10 лет назад
10 лет назад