Ответы
Ответ дал:
0
Объяснение:
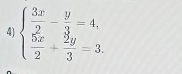
методом подстановки так получается
но легче сделать методом сложения
Приложения:

Вас заинтересует
2 года назад
2 года назад
3 года назад
8 лет назад
9 лет назад