Ответы
Ответ дал:
1
Ответ:
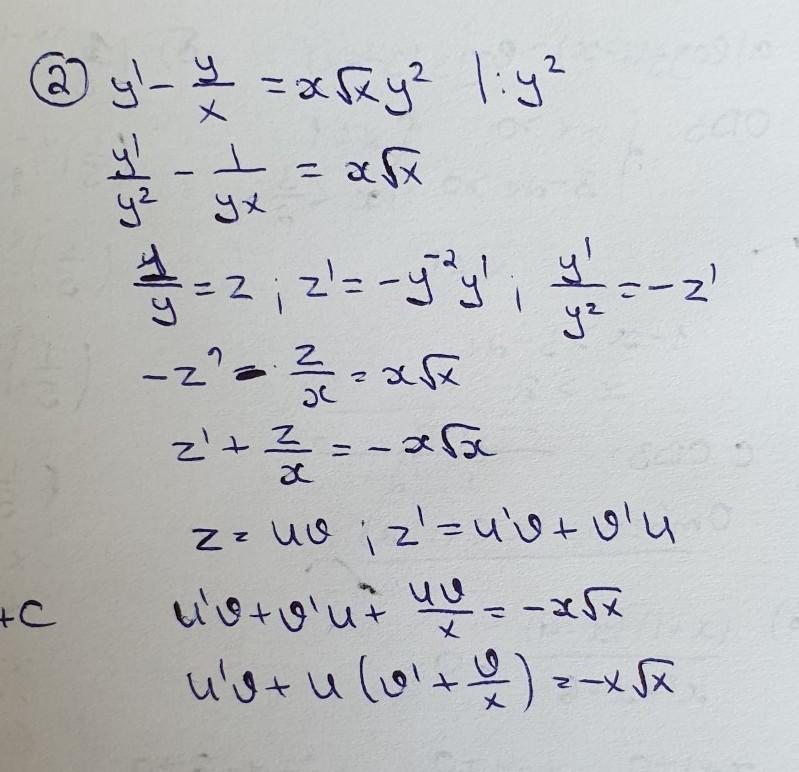
решение на фотографиях
Приложения:



eliza230317:
а можешь ещё решить дифуры?
Вас заинтересует
2 года назад
2 года назад
3 года назад
3 года назад
8 лет назад
8 лет назад