• Предмет: Алгебра
  • Автор: Lika9830
  • Вопрос задан 11 лет назад

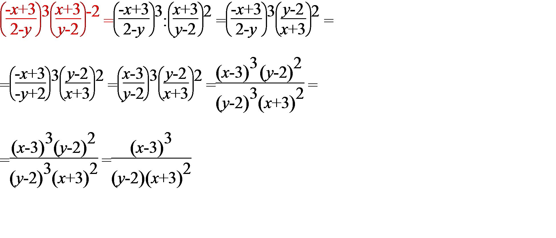
Помогите пожалуйста!!! (- x+3 деленое (дробью) на 2-y)^3 умножить (x+3 деленое (дробью) на y-2)^-2 

Ответы

Ответ дал: triolana
0

файл

----------------------------

Приложения:
Вас заинтересует