Помогите решить пожалуйста
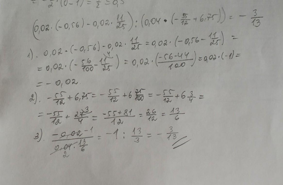
Обчисліть: (0,02⋅(-0,56)-0,02⋅11/25):(0,04⋅(-55/12+6,75))
варіанти відповідей
А) 3/13
Б) 4/11
В) -4/11
Г) -3/13
Ответы
Ответ дал:
1
Ответ:
вариант ответа Г).
Пошаговое объяснение:
решение во вложении
Приложения:

Вас заинтересует
2 года назад
2 года назад
3 года назад
8 лет назад
9 лет назад