• Предмет: Математика
  • Автор: Derwo
  • Вопрос задан 8 лет назад

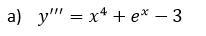
Нужно решить дифференциальное уравнение

Приложения:

Ответы

Ответ дал: dobra888
0

Ответ:       y = x⁷/210 + eˣ  - x³/2 + C₁x²/2 + C₂x + C₃.

Пошаговое объяснение:

y ''' = x⁴ + eˣ - 3 ;   інтегруємо :

∫ у '''dy = ∫ ( x⁴ + eˣ - 3 ) dx  ;  

y '' = x⁵/5 + eˣ - 3x + C ₁ ;     інтегруємо :  

∫ у ''dy = ∫ (  x⁵/5 + eˣ - 3x + C ₁)dx ;

y ' = x⁶/30 + eˣ - 3x²/2 + C₁x + C₂ ;     інтегруємо :  

∫ у 'dy = ∫ ( x⁶/30 + eˣ - 3x²/2 + C₁x + C₂)dx ;

y = x⁷/210 + eˣ  - x³/2 + C₁x²/2 + C₂x + C₃ .   C₁ , C₂ , C₃ - довільні сталі .

Вас заинтересует