• Предмет: Математика
  • Автор: ytkeed
  • Вопрос задан 8 лет назад

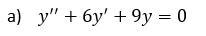
Решить дифференциальное уравнение

Приложения:

Ответы

Ответ дал: dobra888
1

Ответ:             у = (С₁ + С₂х )е⁻³ˣ .

Пошаговое объяснение:

y '' + 6y ' + 9y = 0 ; записуємо його хар. рівняння :

k² + 6k + 9 = 0 ;

( k + 3 )² = 0 ;

k₁ = k₂ = - 3 ,  тоді заг. розв"язок диф. рівняння буде :

у = (С₁ + С₂х )е⁻³ˣ .

Вас заинтересует