ОЧЕНЬ НУЖНО
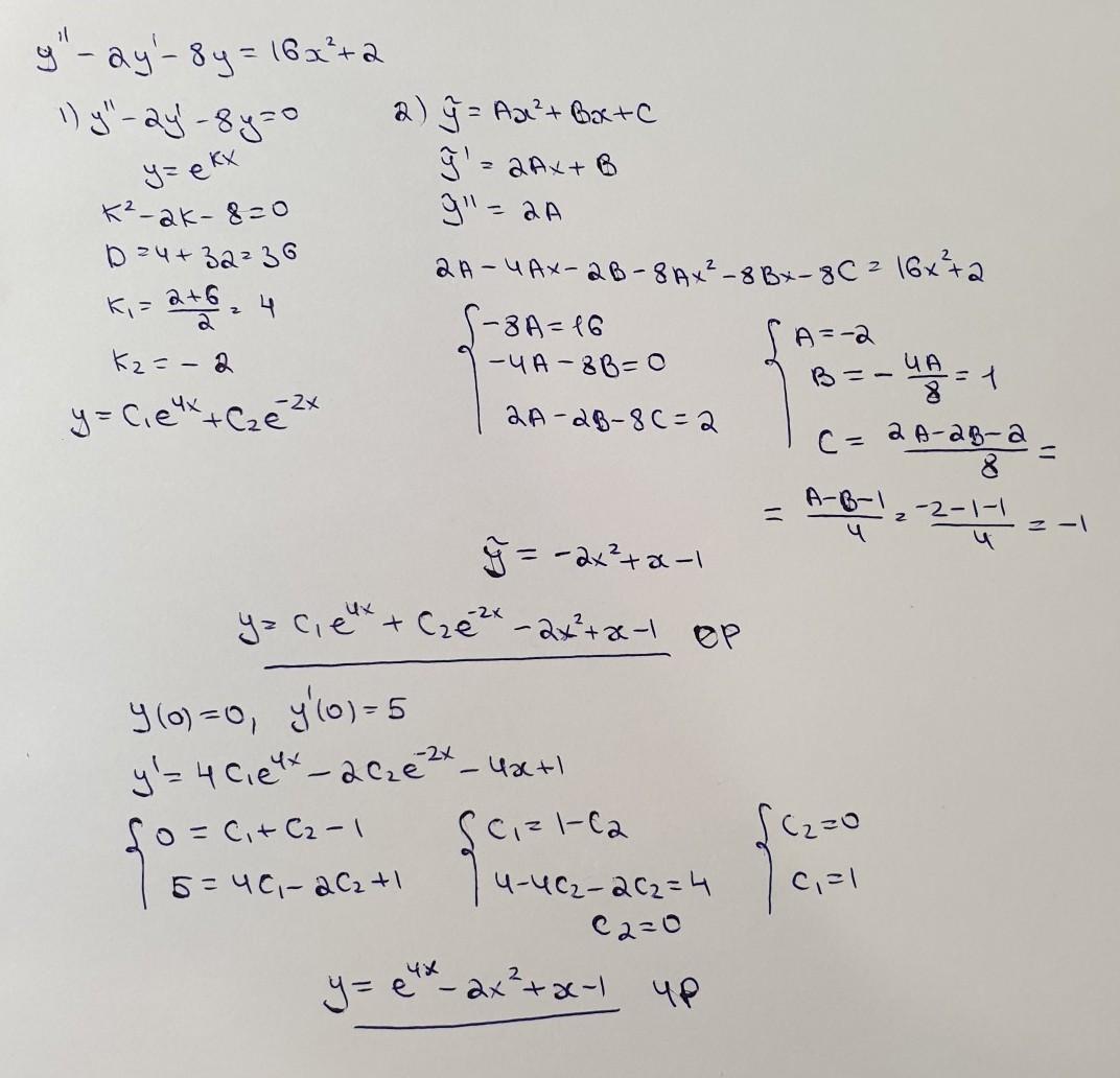
Даны линейные неоднородные дифференциальные уравнения второго порядка с постоянными коэффициентами(со специальной правой частью).Найти частное решение, удовлетворяющие указанным начальным условиям.
Приложения:

Ответы
Ответ дал:
2
Ответ:
решение на фотографии.
Приложения:

Вас заинтересует
2 года назад
2 года назад
3 года назад
3 года назад
8 лет назад
9 лет назад
9 лет назад