• Предмет: Алгебра
  • Автор: Аноним
  • Вопрос задан 8 лет назад

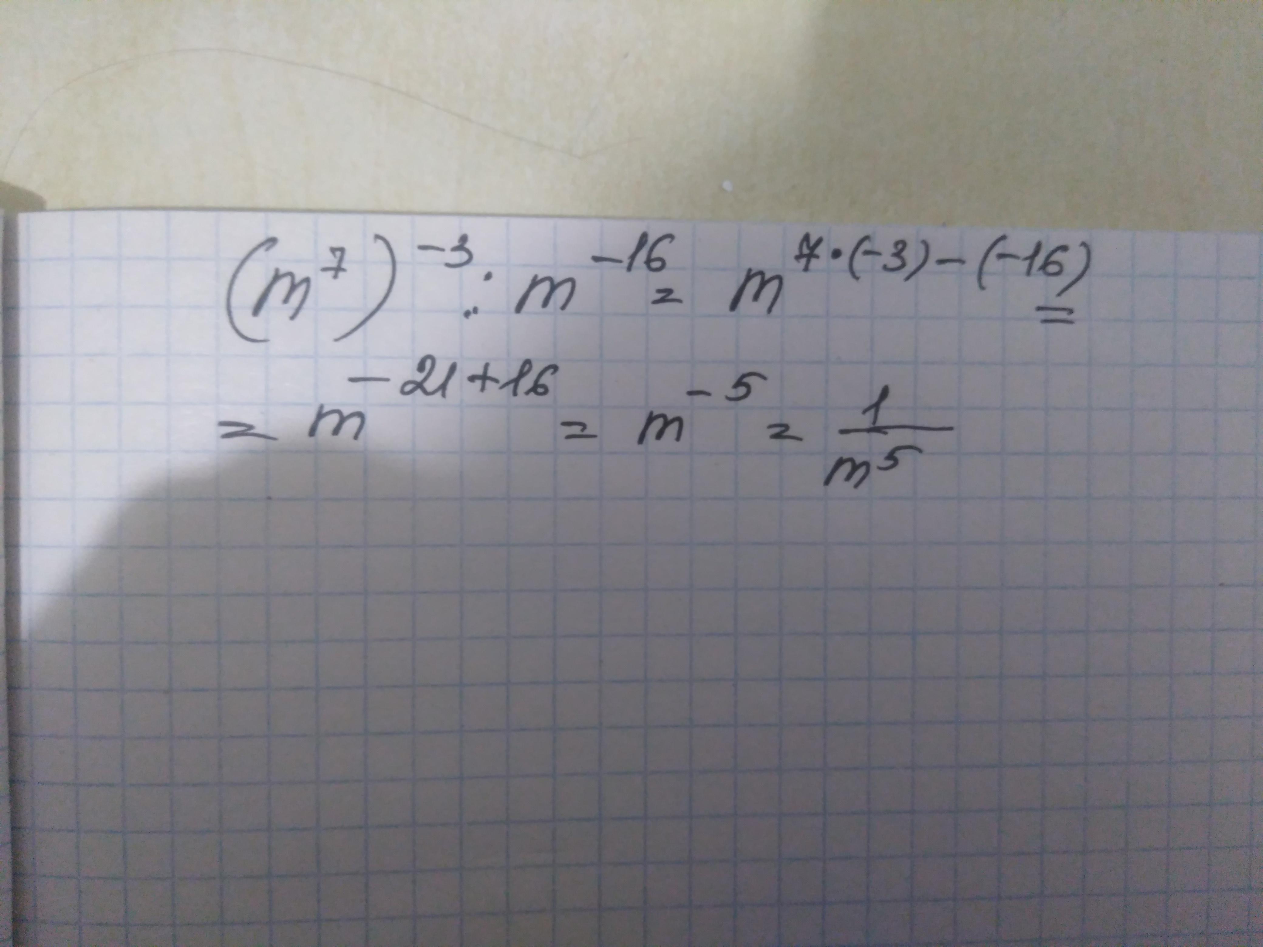
СРОЧНООООО ХЕЛП МИИИИИИИИИ СРОЧНОООООООООООООО Подайте у вигляді степеня вираз (m⁷)-³:m-¹⁶=​


danik1287: изи
Аноним: ну тогда реши
danik1287: e;t
danik1287: уже
danik1287: зач жалобу кидать чел
danik1287: модеры топ люди

Ответы

Ответ дал: MizoriesKun
1

Смотри...

.............

Приложения:

Аноним: у тебя такой красивый почерк.Спасибо тебе большое
danik1287: ...
danik1287: класс
Ответ дал: danik1287
1

Объяснение:

(m⁷)-³:m-¹⁶=​m^{-21} :m^{-16}=m^{(-21+16)}=m^{-5}=\frac{1}{m^{5} }


danik1287: теперь точно правильно
danik1287: Лучшый ответ
danik1287: в канаву
danik1287: боже
Вас заинтересует