• Предмет: Алгебра
  • Автор: Аноним
  • Вопрос задан 8 лет назад

СРОЧНООООО ХЕЛП МИИИИИИИИИ СРОЧНОООООООООООООООООООООООООООООООООООООООООООООООООООООООООООООООООООООООООО
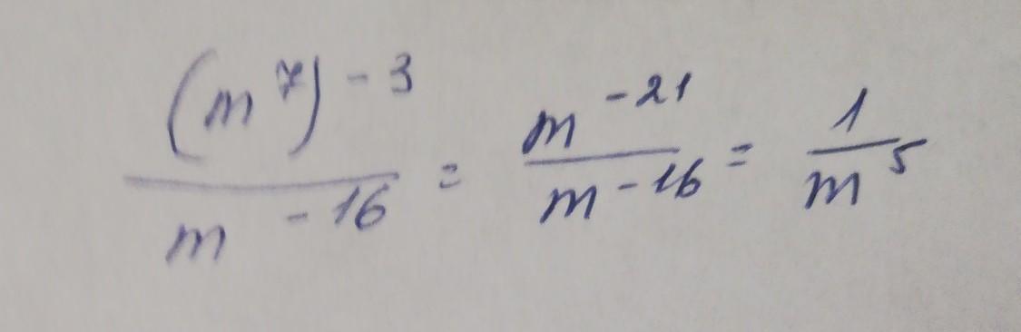
Подайте у вигляді степеня вираз (m⁷)-³:m-¹⁶=​

Ответы

Ответ дал: serovaksusa1
1

Ответ:

Смотри решение на фото

Приложения:
Ответ дал: nahave123
1

Ответ:

Объяснение:

m^{-21} : m^{-16} = m^{-21-(-16)} = m^{-21+16} = m^{-5} = \frac{1}{m^{5} }

Вас заинтересует