• Предмет: Алгебра
  • Автор: zxccc69
  • Вопрос задан 8 лет назад

Помогите пожалуйста !!!!!

Приложения:

sporangalina024: А что за задание, найти производную, или как?
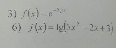
zxccc69: Найдите производную функцию

Ответы

Ответ дал: sporangalina024
0

Ответ:

Объяснение:

1) f'(x)=(e^-2,1x)'

f' (x) =(e^-21/10x) '

f' (x) =(e^-21/10x)'*(-21/10x)'

f'(x) =e^-21/10x*(-21/10)

f'(x)=-21/10e^21/10x

2)не знаю =(

Вас заинтересует