решите систему уравнений x^2-2xy+y^2=9 4x^2+xy+4y^2=18
nikitagolubin2001:
x^2-2xy+y^2=9, 4x^2+xy+4y^2=18
Ответы
Ответ дал:
0
Відповідь:
(-1;2) (1;-2) (-2;1) (-1;2)
Пояснення: x^2-2xy+y^2=9
(х-у)^2 =9
x^2-2xy+y^2=9 домножимо на 4
4x^2-8xy+4y^2=36
4x^2+xy+4y^2=18 віднімемо
-9xy =18
ху=-2
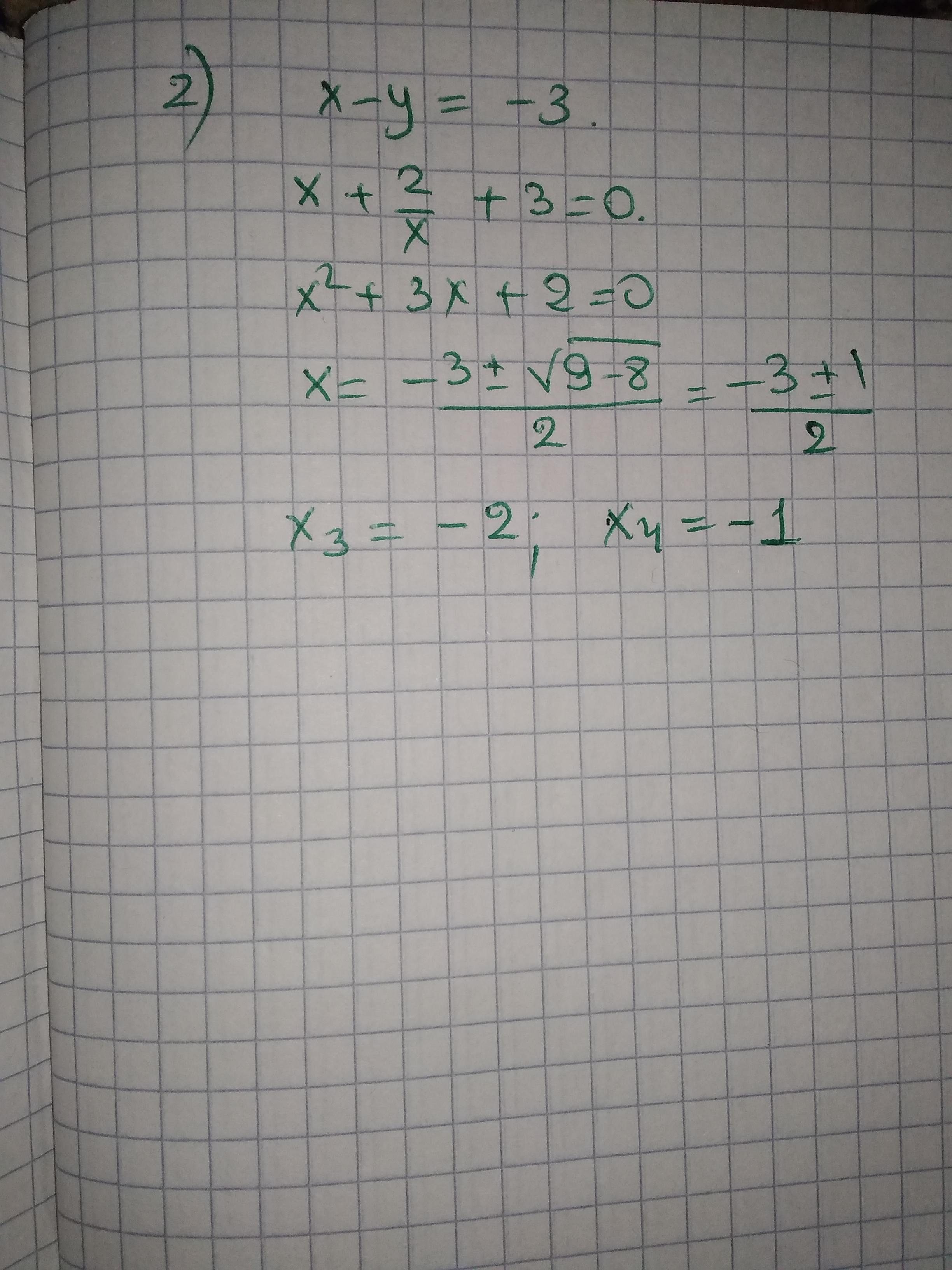
х-у=3 (у+3)у+2=0 у^2+3у+2=0 у1=-1 у2=-2
х1=2 х2=1
або
ху=-2
х-у=-3 у^2-3у+2=0 у1=1 у2=2
х1=-2 х2=-1
Ответ дал:
0
Ответ:
Объяснение:
Na foto
Приложения:


Вас заинтересует
2 года назад
3 года назад
8 лет назад
9 лет назад