Ответы
Ответ дал:
0
Ответ:
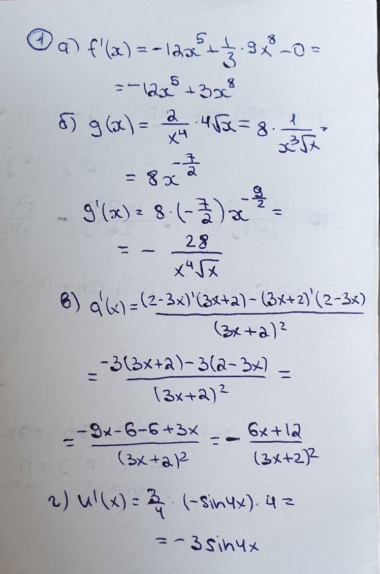
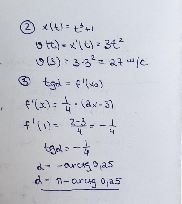
решение на фотографиях
Приложения:


Вас заинтересует
2 года назад
2 года назад
3 года назад
3 года назад
8 лет назад
9 лет назад
9 лет назад