• Предмет: Алгебра
  • Автор: yana2263
  • Вопрос задан 8 лет назад

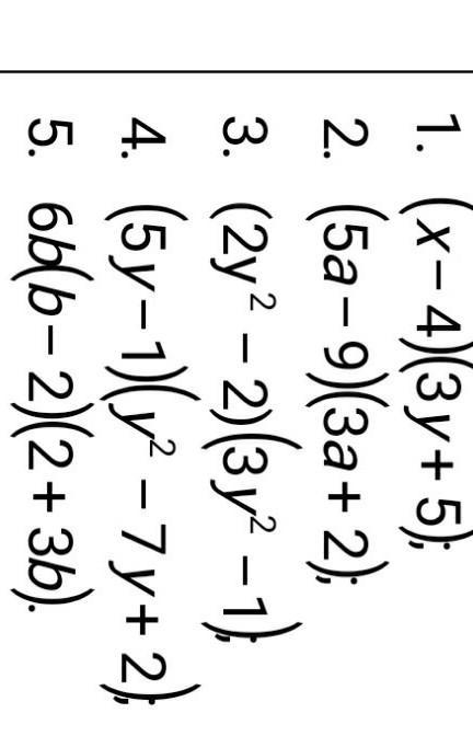
пожалуйста помогите мне по алгебре мне срочно нужно 7 класс​

Приложения:

Ответы

Ответ дал: elen210684
1

Ответ:

1. 3xy+5x-12y-20

2. 15a²-17a-18

3.6y⁴-8y²+2

4. 5y³-36y²+17y-2

5.6b(-4b+3b²-4) = -24b²+18b³-24b

P.S. не бейте, если не правильно)

Объяснение:

Вас заинтересует