• Предмет: Алгебра
  • Автор: Vishnevskayat
  • Вопрос задан 10 лет назад

РЕШИТЬ УРАВНЕНИЕ
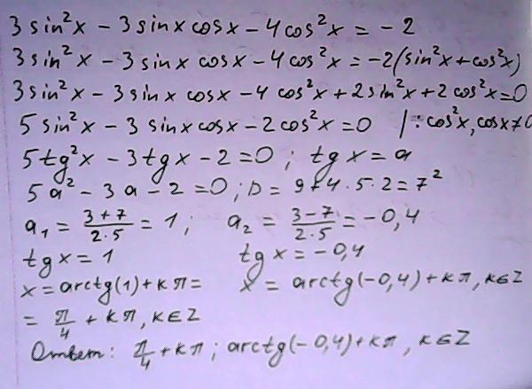
3sin^2 x-3 sinx cosx-4cos^2 x=-2

Ответы

Ответ дал: gudiniwow
0
Вот решение.........................
Приложения:
Вас заинтересует