Ответы
Ответ дал:
3
Смотри.....................
Приложения:

Ответ дал:
2
Ответ:
Объяснение:
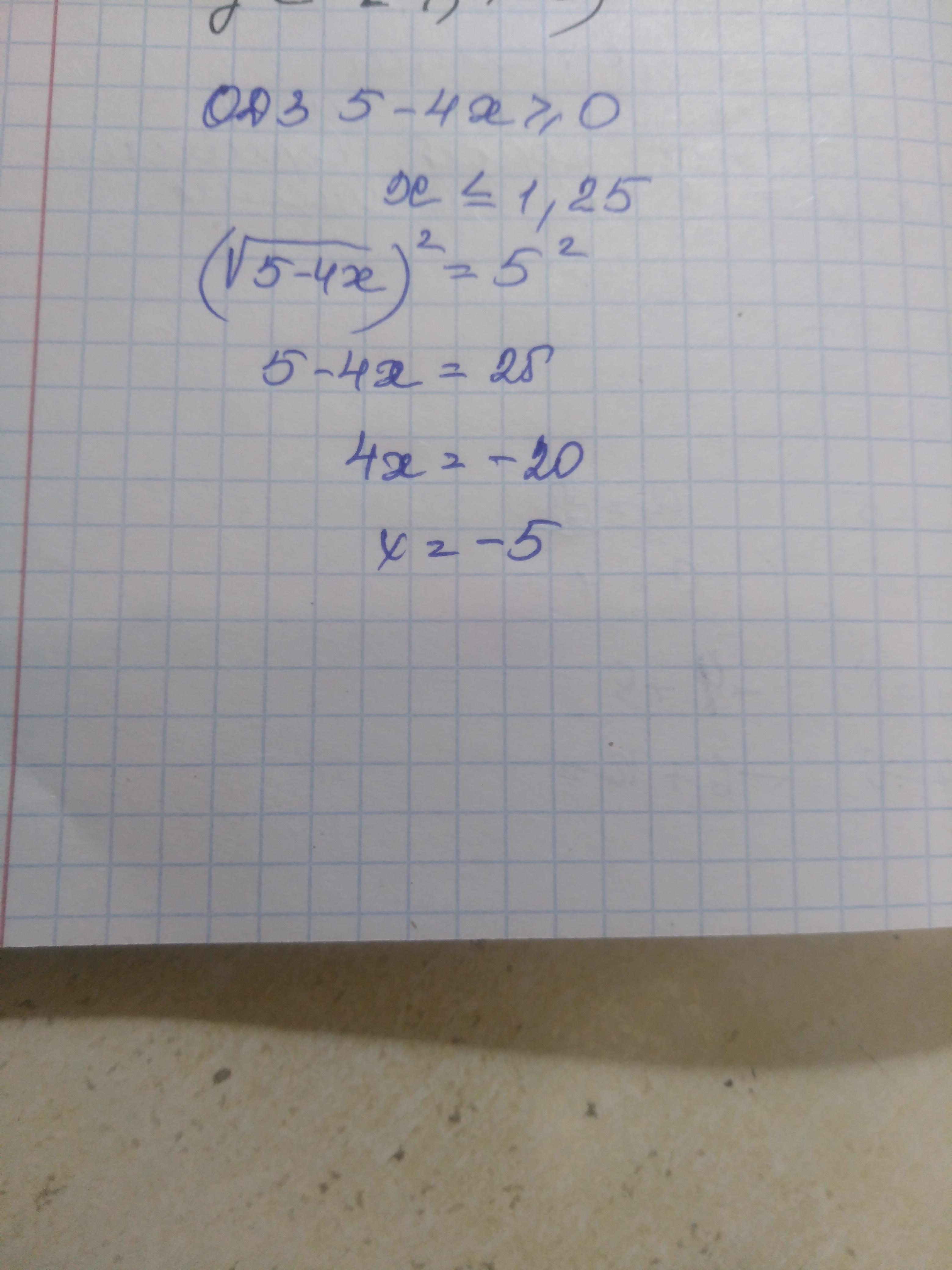
1. Находим ОДЗ:
ОДЗ: x ∈ (-∞;1,25]
2. Решаем уравнение:
Число х = -5 входит в ОДЗ, а значит, является корнем данного уравнения.
Вас заинтересует
2 года назад
2 года назад
3 года назад
8 лет назад
8 лет назад
9 лет назад