• Предмет: Алгебра
  • Автор: WholAY
  • Вопрос задан 8 лет назад

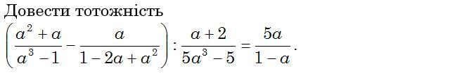
Довести тотожність задачі на фото. Якщо це можливо, дайте письмову відповідь.

Приложения:

Ответы

Ответ дал: sangers1959
0

Объяснение:

Упростим выражение в скобках:

\frac{a^2+a}{a^3-1} -\frac{a}{1-2a+a^2} =\frac{a*(a+1)}{(a-1)*(a^2+a+1)} -\frac{a}{(a-1)^2}=\frac{a*(a+1)*(a-1)-a*(a^2+a+1)}{(a-1)*(a^3-1)} =\\=\frac{a*(a^2-1)-a^3-a^2-a}{(a-1)*(a^3-1)} =\frac{a^3-a-a^3-a^2-a}{(a-1)*(a^3-1)}=\frac{-a^2-2a}{(a-1)*(a^3-1)} =\frac{-a*(a+2)}{(a-1)*(a^3-1)}=\frac{a*(a+2)}{(1-a)*(a^3-1)}.\frac{a*(a+2)}{(1-a)*(a^3-1)}:\frac{a+2}{5a^3-5}= \frac{a*(a+2)}{(1-a)*(a^3-1)}*\frac{5*(a^3-1)}{a+2}=\frac{5a}{1-a} .

Вас заинтересует