ДАЮ ВСЕ БАЛЛЫ
Решите неравенства,пожалуйста
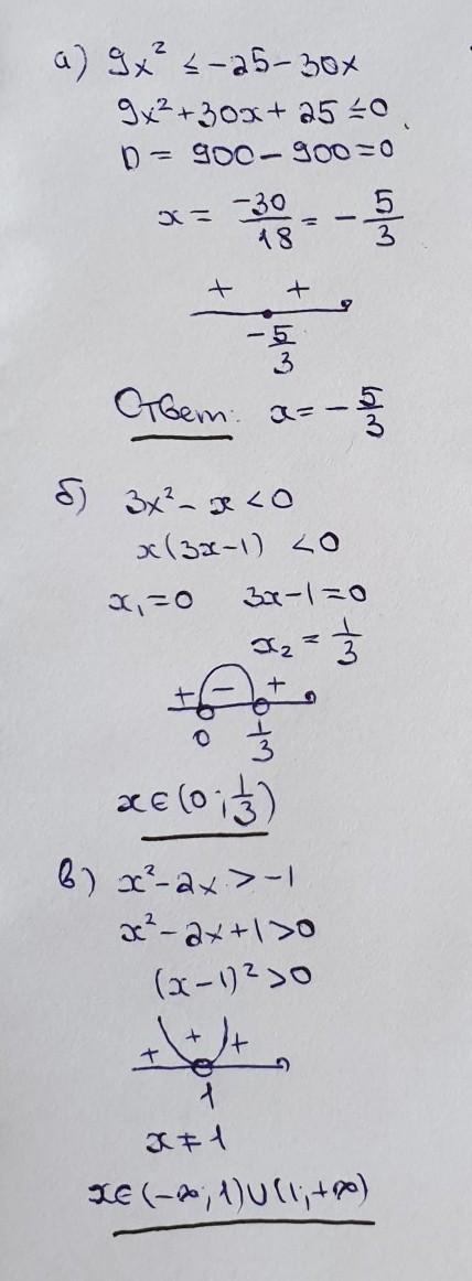
а) 9x2 ≤ –25 – 30x;
б) 3x2 – x < 0;
в) x2 – 2x > –1;
г) 6x2 ≥ 15 – x.
д) 17x – 6x 2 < 12;
е) 0,5x 2 – 12 ≤ 0;
ж) 4x 2 + 1 ≤ – 4x;
з) 3x 2 – 4x < 7.
Ответы
Ответ дал:
1
Ответ:
решение на фотографиях
Приложения:


Volshi:
Спасибо большое!
Вас заинтересует
2 года назад
3 года назад
8 лет назад
8 лет назад
9 лет назад