• Предмет: Алгебра
  • Автор: kowabunga
  • Вопрос задан 10 лет назад

Упростите произведение или частное:
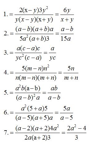
1. frac{2x-2y}{y} * frac{3y^2}{x^2-y^2}

2. frac{a^2-b^2}{5a^2} *  frac{a}{3a+3b}

3, frac{ac-a^2}{yc^2} : frac{c-a}{c}

4. frac{5m-5n}{n}: frac{m^2-n^2}{n^2}

5. frac{a^2b}{a^2-2ab+b^2}* frac{a-b}{a}

6. frac{a^2}{a^2-25} : frac{a}{25+5a}

7. frac{a^2-4}{2a} :  frac{3a+6}{4a^2}

Ответы

Ответ дал: Аноним
0
.....вот, держи :) ......
Приложения:
Вас заинтересует