• Предмет: Математика
  • Автор: МелкаяМиМи
  • Вопрос задан 8 лет назад

Высшая математика
Нужно срочно с подробным решением

Приложения:

Ответы

Ответ дал: dobra888
0

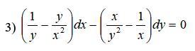
Ответ:         x² - y² = C .

Пошаговое объяснение:

Переносимо 2-ий вираз вправо і зводимо до спільних знаменників :

(1/у - у/х²)dx = (x/y² - 1/x)dy ;

( x² - y²)dx/(x²y) = ( x² - y²)dy/(xy²) ;  Скорочуємо       ( x ≠ y ; x ≠ 0 ; y ≠ 0 )

x dx = y dy ;    інтегруємо :

∫ x dx = ∫ y dy ;

x²/2 = y²/2 + 1/2 C ;

x² - y² = C ,  де С - довільна стала . ( якщо не важко , оцініть роботу ) .

Вас заинтересует