Ответы
Ответ дал:
1
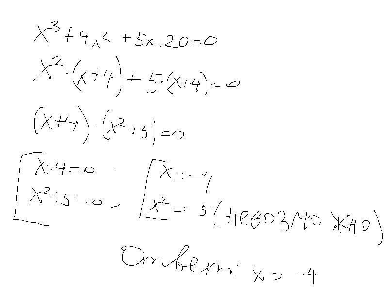
Ответ:
-4, номер 4.
Объяснение:
Приложения:

mmb1:
x^2 = -5 невозожно ? почему ?
это желательно писать
Вас заинтересует
2 года назад
2 года назад
3 года назад
3 года назад
8 лет назад
9 лет назад