• Предмет: Қазақ тiлi
  • Автор: Mary0777
  • Вопрос задан 8 лет назад

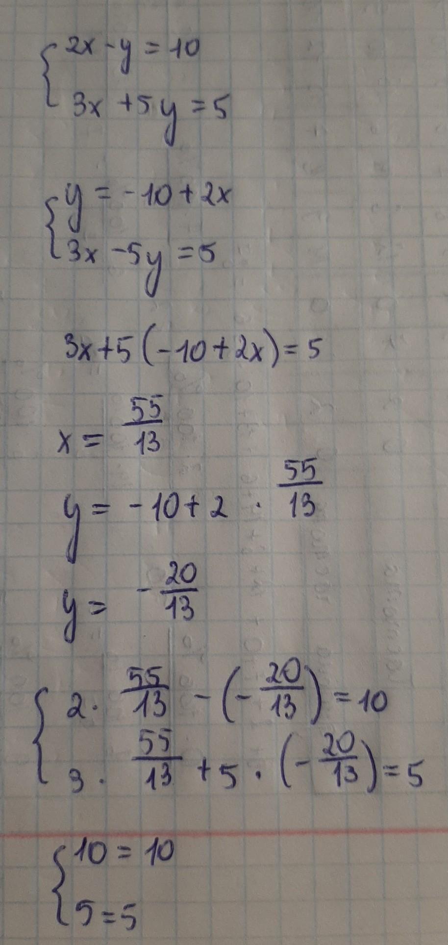
A). Розв'яжіть систему способом підстановки.
2х-у=10
3х+5у=5​

Ответы

Ответ дал: nikoliuk2711
1

ответ на твой вопрос, держи

Приложения:

Mary0777: очень спасибо!!!
nikoliuk2711: пожалуйста
Вас заинтересует