• Предмет: Математика
  • Автор: sooprja
  • Вопрос задан 8 лет назад

помогите пожалуйста.

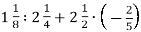
Приложения:

Ответы

Ответ дал: oksik1970
0

Пошаговое объяснение:

1 \frac{1}{8}  \div 2 \frac{1}{4}  + 2 \frac{1}{2}  \times ( -  \frac{2}{5} ) =  \frac{9}{8}  \times  \frac{4}{9}  -  \frac{5}{2}  \times  \frac{2}{5}  =  \frac{1}{2}  - 1 =   \frac{1 - 2}{2}  =  -  \frac{1}{2}

Вас заинтересует