• Предмет: Алгебра
  • Автор: js5pfrt2xc
  • Вопрос задан 8 лет назад

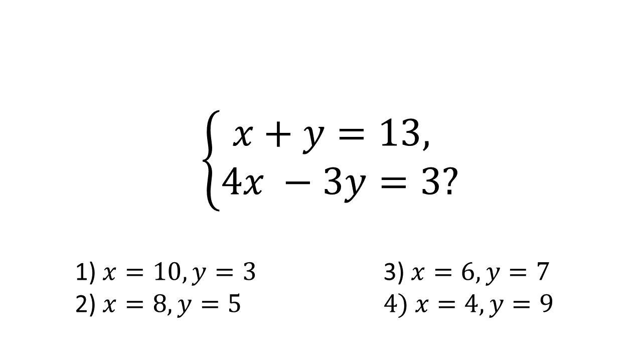
Какая пара чисел является решением системы уравнений?

(можно полное решение)

Приложения:

Ответы

Ответ дал: ghost4161
0

Ответ:

х=6 у=7

Объяснение:

4(13-у)-3у=3

у=7

х=13-7

х=6

(х,у)=(6;7)

Вас заинтересует