нужно вычислить интеграл, а я в этом не разбираюсь
Приложения:

amanda2sempl:
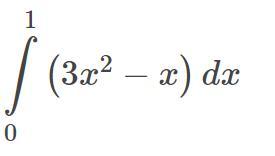
₀¹∫ (3х² - х)dx = 3x³/3 - x²/2 | ₀¹ = 1³ - 1²/2 = 1 - 0,5 = 0,5
Ответы
Ответ дал:
0
Ответ:
0,5
Объяснение:
Вычисление определённого интеграла:
Находим первообразную функции f(x) = 3x^2-x
F(x) = + C
Вас заинтересует
2 года назад
3 года назад
8 лет назад
9 лет назад