Помогите, пожалуйста! Безумно срочно.
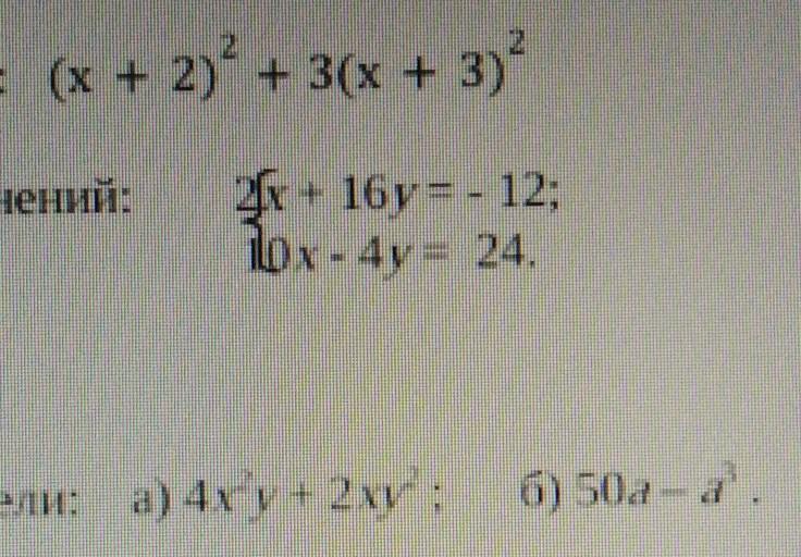
1. Упростите выражение.
2. Решите систему уравнений (подробно, писать все действия)
3. Разложите на множители.
Приложения:

Ответы
Ответ дал:
1
Ответ:
Смотреть фото
(Может быть 1 неправильно)
Приложения:

samsonskaya:
разобрать бы мне еще почерк. Огромное спасибо!
Ответ дал:
1
Объяснение:
1.
2.
Суммируем эти уравнения:
Ответ: (2;-1).
3.
Вас заинтересует
2 года назад
2 года назад
3 года назад
3 года назад
8 лет назад
8 лет назад
9 лет назад