Ответы
Ответ дал:
1
Ответ:
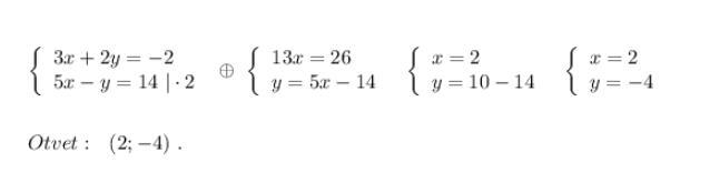
Приложения:

master920:
и мне помогите пожалуйста...
Вас заинтересует
2 года назад
3 года назад
8 лет назад
8 лет назад
9 лет назад
9 лет назад