• Предмет: Алгебра
  • Автор: nazaropanasiuk4
  • Вопрос задан 8 лет назад

Тільки 1 приклад
(бажано повне розв'язання)

Приложения:

Ответы

Ответ дал: sangers1959
1

Объяснение:

1)\ \frac{2x^2+5x-3}{3x^2+10x+3}=\frac{2x^2+6x-x-3}{3x^2+9x+x+3}=\frac{2x(x+3)-(x+3)}{3x*(x+3)+(x+3)}=\frac{(x+3)*(2x-1)}{(x+3)*(3x+1)}=\frac{2x-1}{3x+1} .

Ответ дал: oksik1970
1

Объяснение:

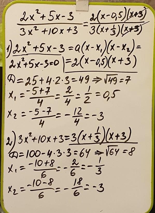
 \frac{2 {x}^{2}  + 5x - 3}{3 {x}^{2}  + 10x + 3}  =  \frac{2(x - 0.5)(x + 3)}{3(x +  \frac{1}{3})(x + 3) } =  \frac{2(x - 0.5)}{3(x +  \frac{1}{3} )}  =  \frac{2x - 1}{3x + 1}

Смотри фото, там разложение на мгожители.

Для решения используем формулу разложения квадратного трёхчлена на множители:

a {x}^{2}  + bx + c = a(x - x1)(x - x2)

1 шаг▪︎на фото▪︎ числитель приравниваем к 0 и находим корни квадратного уравнения х1 и х2, после чего эти корни подставляем в нашу формулу.

2 шаг▪︎на фото▪︎ тоже самое со знаменателем

3 шаг▪︎ сокращаем нашу дробь

▪︎▪︎▪︎▪︎▪︎▪︎▪︎▪︎▪︎▪︎▪︎▪︎▪︎▪︎▪︎▪︎▪︎

расчитываю на лучший ответ, просто ооочень надо.

Приложения:

nazaropanasiuk4: Спасибо очень помог)
Вас заинтересует